关注次数:次
商品类型:防堵风量测量装置
上架时间:2023-10-11
产品描述:在科研、生产、教学、环境保护以及隧道、矿井通风、能源管理部门,常用皮托管测量通风管道、工业管道、炉窑烟道内的气流速度,经过换算来确定流量,也可测量管道内的水流速度。用皮托管测速和确定流量,有可靠的理论根据,使用方便、准确,是一种经典的广泛的测量方法。此外,它还可用来测量流体的压力
咨询电话:029-88767898
一、产品概述
皮托管,又名“空速管”,“风速管”,英文是Pitot tube。皮托管是测量气流总压和静压以确定气流速度,流量的一种管状装置。由法国H.皮托发明而得名。
在科研、生产、教学、环境保护以及隧道、矿井通风、能源管理部门,常用皮托管测量通风管道、工业管道、炉窑烟道内的气流速度,经过换算来确定流量,也可测量管道内的水流速度。用皮托管测速和确定流量,有可靠的理论根据,使用方便、准确,是一种经典的广泛的测量方法。此外,它还可用来测量流体的压力。
二、工作原理
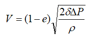
皮托管的测量原理是基于伯努利方程在空气中应用的一个实例,皮托管的流速公式为

三、主要技术参数
测量原理 | 差压原理 |
管线尺寸 | 8mm≤DN≤15000mm |
重复性 | ±0.1% |
流速测量范围 | 0.5-40m/s |
传感器精度 | ±0.5%、±1% |
温度极限值 | -100℃≤t≤550℃ |
压力极限值 | 0Mpa≤PN≤25Mpa,特殊应用可达40Mpa |
安装方式 | 法兰连接、焊接、螺纹连接 |
参照标准 | ISO 3966-197、JB/T5325-1991及GB/T2624-2006 |
量程比 | 在差压满足的情况下量程比1:10 |